Preguntas esperando respuesta
Actividad pública reciente
Ha preguntado en el tema en
Biología
y en 2 temas más
Biología: genética y biotecnología. ¿Cuáles serán las proporciones fenotípicas y genotípicas de la F1? ¿Cuál sería el resultado
Dendrobatidae: Dentro de esta familia, se encuentra Epipedobates anthonyi, es una rana pequeña, de coloración muy variable entre poblaciones, con presencia de huesos blancos o verdes en algunos casos. Si una hembra de piel con manchas verdes (PP) y...
Sin respuestas
Ha valorado "Buena" la respuesta
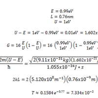
Un electrón de 0.99 eV de energía cinética inicial encuentra una barrera de altura U0 y ancho de 0.76 nm. ¿Cuál es el coeficient
Ha valorado "Buena" la respuesta
Un electrón que está inicialmente en reposo recibe el impacto de un rayo x que tiene una longitud de onda de 0,11 nm. La longitu
¿Pero... y que angulo de rechazo están suponiendo?... será = 180 ° ... fíjate bien si no faltan otros datos...
Ha preguntado en el tema en
Física
Un electrón con una energía cinética inicial 0.60 eV encuentra una barrera de 0.9 eV de altura. ¿Cuál es la probabilidad de que
Un electrón con una energía cinética inicial 0.60 eV encuentra una barrera de 0.9 eV de altura. ¿Cuál es la probabilidad de que realice tunelamiento, si el ancho de la barrera es 0.7 nm?
Sin respuestas
Ha valorado "Buena" la respuesta
Un átomo de hidrógeno inicialmente en el nivel fundamental absorbe un fotón, que lo excita al nivel n = 5. Determine la longitud
Te oriento para que puedas calcular lo que te piden vos sola... Como entiendo conocerás el tema del espectros de emisión y absorción del átomo de Hidrógeno, tienes que para cada salto cuántico que las origina: 1 / lambda ( i, f) = R( 1/ i^2 - 1/f^2 )...
Ha preguntado en el tema en
Ingeniería Electrónica
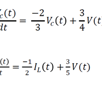
Hallar el modelo matemático del sistema linealizado mediante la ecuación de la función de transferencia.
Ayúdenme... Hallar el modelo matemático del sistema linealizado mediante la ecuación de la función de transferencia a partir de esas ecuaciones (Transformada de Laplace) Por favor, ayúdenme...
Sin respuestas
Ha valorado "Excelente" la respuesta
Una nave espacial que se dirige hacia la Tierra a 81c transmite señales de radio a 0.5 MHz. ¿A qué frecuencia se deben sintoniza
Revisa el enunciado. Ningun movil puede transladarse a una velocidad mayorque la de la luz = c = 3 x 10^8 m/s.
Ha valorado "Excelente" la respuesta
¿Cuál es la rapidez de un electrón cuya energía cinética es de 14 MeV?
El tema pasa aquí por que sepasreducir la Energía de 14 x 10^6 eV A Joules. La carga del electron es de 1.60 x 10 ^-19 C. x 1 v = 1.60 x 10 ^-19 C. x 1 v x 1J/C = 1.60 x 10 ^-19 J = 1 eV. La Ec dato = 14 MeV = 14 x 10^6 eV X 1.60 x 10 ^-19 J/ eV =...
Ha empezado a seguir el tema Profesores
Ha empezado a seguir el tema Ingeniería Eléctrica
Ha valorado "Buena" la respuesta




