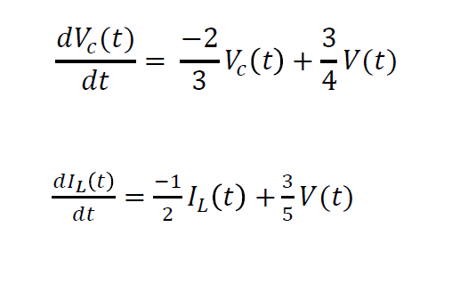
Hallar el modelo matemático del sistema linealizado mediante la ecuación de la función de transferencia.
Ayúdenme... Hallar el modelo matemático del sistema linealizado mediante la ecuación de la función de transferencia a partir de esas ecuaciones (Transformada de Laplace) Por favor, ayúdenme...
