Un electrón de 0.99 eV de energía cinética inicial encuentra una barrera de altura U0 y ancho de 0.76 nm. ¿Cuál es el coeficient

Un electrón de 0.99 eV de energía cinética inicial encuentra una barrera de altura U0 y ancho de 0.76 nm. ¿Cuál es el coeficiente de transmisión si a) U0 = 1 eV.

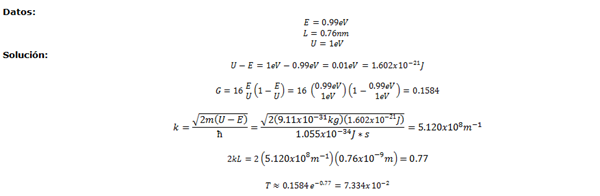
Respuesta
1

Tema clásico de la Mecánica Cuántica. Evidencia consecuencias contradictorias con la Física Newtoniana. Partículas con Energías menores pueden superar barreras de potencial mayores.

El desarrollo pertenece a la ecuación de Schrödinger aplicada al caso en que la Energía incidente es menor que la altura de la barrera de potencial y esta aplicada al intervalo que corresponde al ancho a de la barrera.

El detalle lo podes consultar en la referencia que te paso abajo.

T= COEFICIENTE DE TRANSMISION =4  E(Eo- E) /  4  E(Eo- E) + Eo^2 senh^2 ( ka)

E= 0.99 Ev ......................Eo= 1 Ev .........................k= 2m( Eo - E) / h^2

k= 2 x 9.1 x 10^-31 ( 1 - 0.99) / 6.58 x 10^-16 = 0.276 x 10^-15a = 0.76 x 10^-9 m.ka = 0.76 x 10^-9 m. x 0.276 x 10^-15 = 0.21 x 10^ -24T =4 x 0.99( 1 - 0.99) / { 4 x 0.99( 1 - 0.99) + 1 x sen h^2(0.21 x 10^ -24)}.........y tendrias el coeficiente buscado.Te paso el link de consulta:http://www.sc.ehu.es/sbweb/fisica3/cuantica/tunel/tunel.html

Lo he resuelto de esta forma, pero quería comprobar que sí estaba correcto.

Muy Bien Mariana... tengo un error en mis cálculos... tome k en lugar de k^2 y el valor de la constante de Planck dividiendo no lo habia elevado al cuadrado ... Esta muy bien tu desarrollo y lo comprobé con tus unidades...

Añade tu respuesta

Haz clic para o

Más respuestas relacionadas