Respuesta
en
Ciencias e Ingeniería
y en 3 temas más
a
Determinar el área de la región limitada por las gráficas
Primero halla la interseccion de las dos graficas haciendo x^2+2=-x+4. Te quedan x=-2 y x = 1. Dibuja las dos funciones. Veras que y=-x+4 esta por encima de y=x^2+2 en el intervalo [-2,1]. La integral que tienes que hacer en estos casos es en general...
Respuesta
en
Matemáticas
y en 1 temas más
a
Calculo integral longitud del arco de la parábola
Por definición, la longitud de una curva viene dado por si tu funcion es y=y(x); con a y b los limites inferior y superior en x. La funcion en este caso es y=x^(3/2). En este caso nos quedamos con la raiz positiva ya que estamos en y positivos (entre...
Respuesta
en
Matemáticas
y en 1 temas más
a
Solucionar el presente ejercicio calculo diferencial
Respuesta
en
Matemáticas
y en 1 temas más
a
Calcule el valor aproximado de S.
Respuesta
en
Matemáticas
y en 2 temas más
a
Determine si el conjunto dado es un subespacio vectorial: el conjuntos de la forma
Respuesta
en
Matemáticas
y en 1 temas más
a
Ecuaciones Diferenciales de Primer Orden.
Respuesta
en
Matemáticas
y en 1 temas más
a
Calcular la integral de Línea
Debido al camino que vamos a recorrer podemos reescribir la integral como Para escribir una parametrizacion podemos completar cuadrados y nos queda Por tanto al parametrizar ese camino la integral de linea nos queda como donde la primera raiz se...
Respuesta
en
Matemáticas
y en 2 temas más
a
Hallar la función de la curva que pasa por los puntos:
Esa función no pasa por esos puntos. Pero bueno puede ser que la hayas escrito mal. Si tienes 6 puntos en general necesitas un polinomio de grado 5 para que pasen por ellos. Podrías hacer una función y =a_0 +a_1x+a_2x^2+...+a_5x^5. Sustituir las x y...
Respuesta
en
Matemáticas
y en 3 temas más
a
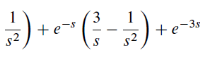
Escriba la transformada inversa de Laplace en términos de la función escalón unitario
Respuesta
en
Matemáticas
y en 2 temas más
a
