Ecuaciones Diferenciales de Primer Orden.
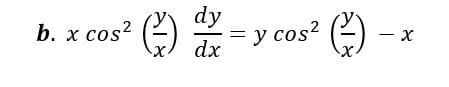
Respuesta para hallar la Ecuación Homogénea sobre el ejercicio:

1 Respuesta
Respuesta de Alejandro Salazar
2
