Preguntas esperando respuesta
Actividad pública reciente
Ha preguntado en el tema en
Matemáticas
y en 1 temas más
Ecuaciones Diferenciales aplicando transformada de Laplace: y^''+y-2y=1-2t, y(0)=0, y^' (0)=4

Sin respuestas
Ha valorado "Excelente" la respuesta
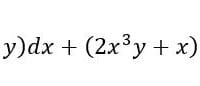
Ecuaciones de Cauchy - Euler: x^3 y^3-x^2 y^''+2xy^'-2y=x^3
Ha valorado "Buena" la respuesta
Ecuaciones Diferenciales de Primer Orden.
Ha empezado a seguir a
Ha preguntado en el tema en
Matemáticas
y en 1 temas más
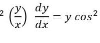
Ecuaciones Diferenciales de Primer Orden ejercicio 2.
Sin respuestas
Ha valorado "Buena" la respuesta
El cañón de Santa Elena tiene una profundidad de aproximadamente 450 metros y en algunos sitios tiene 9 metros de ancho.
Ha valorado "Buena" la respuesta
Los tres finalistas de un concurso de TV se colocan en el centro de un campo plano grande. Cada uno cuenta con una regla.
Ha empezado a seguir el tema Matemáticas
Ha empezado a seguir a
Ha empezado a seguir el tema Tecnología e Internet
Ha empezado a seguir el tema Ciencias e Ingeniería
Ha empezado a seguir el tema Física
Educación
-
UNAD