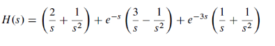
Escriba la transformada inversa de Laplace en términos de la función escalón unitario

Ecuaciones Diferenciales

Escriba la transformada inversa de Laplace en términos de la función escalón unitario

1 respuesta

Respuesta

El primer término en paréntesis en directo. Para los otros dos tienes que recordar que

$$\begin{align}&\mathcal{L}\{u(t-a)\} = e^{-as}\frac{1}{s}\end{align}$$

Para los dos terminos siguientes puedes proceder de varias formas pero en definitiva vas a tener que aplicar la transformada de la convolución. La forma más sencilla (a ojo) es primero hacer la distributiva, de esa forma los términos con 1/s son directamente la transformada de la función escalón y solo te quedarían los términos de la forma

$$\begin{align}&e^{-as}\frac{1}{s^2} = \left[e^{-as}\frac{1}{s}\right] \frac{1}{s}\end{align}$$

que reconoces como el producto de transformadas, y la antitransformada sería el producto de convolución, por lo que tienes que resolver la integral.

O simplemente reconocer que hay una propiedad de la transformada con una exponencial...

Añade tu respuesta

Haz clic para o

Más respuestas relacionadas