Respuesta
en
Matemáticas
y en 2 temas más
a
Resolver la ecuación con lim h=0
Supongo el h esta dividiendo a todo. No se si te equivocaste al momento de escribir y quieres hallar la derivada usando la definición por limites(aunque en este caso el 2 no afecta porque la distancia h es muy pequeña)
Respuesta
en
Matemáticas
y en 3 temas más
a
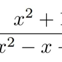
¿Cómo se empezaría a reescribir y resolver esta ecuación?
Respuesta
en
Cálculo
y en 1 temas más
a
¿Como se resuelve la siguiente ecuacion diferencial?
Te puedo ayudar, pero más tarde, es una ecuación diferencial exacta; si puedes resolverla, bien. Si no, me dices, y cuando me desocupe te ayudo a resolverla
Respuesta
en
Matemáticas
y en 1 temas más
a
Encontrar el dominio de definición de la siguiente función
Es tal cual como se haría como funciones reales(Con unos detalles pero en este no es necesario), hay que ver cuando el denominador es cero. Factorizas el denominador usando la resolvente El dominio seria todos los complejos excepto esos dos valores
Respuesta
en
Matemáticas
y en 1 temas más
a
Aplicación de la derivada/Razón de cambio/Abrevadero sección transversal es un triangulo equilátero
Es muy parecido al del cono, Vas a tener una especie de prisma triangular de volumen el área del triángulo por el lado. La cuestión es que debes hallar una fórmula para el área de un triángulo equilatero que necesite solamente la altura. Sustituyes...
Respuesta
en
Matemáticas
y en 1 temas más
a
Ejemplo de un conjunto cerrado, pero no acotado en C
Un conjunto cerrado se puede definir como el complementario de un conjunto abierto. Si escribimos un conjunto abierto cualquiera, voy a tomar de ejemplo el que escribió yani Ω={z∈C│Re(z)<1}, un conjunto cerrado no acotado sería Ω={z∈C│Re(z)>=1} (Es...
Respuesta
en
Matemáticas
y en 1 temas más
a
Muestre que el conjunto Ω={z∈C│Re(z)<1} es un conjunto abierto
No hay mucho que demostrar, un conjunto es cerrado cuando contiene al interior y la frontera(dicho de manera muy general y no del todo correcto en el sentido que le falta algunas aclaraciones), básicamente porque no contiene Re(z)=1
Respuesta
en
Matemáticas
y en 1 temas más
a
Del siguiente conjunto gráfica Ω={z∈C| |Re(z) 5|<|Im(z)|}
Respuesta
en
Matemáticas
y en 1 temas más
a
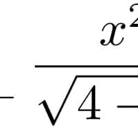
Limite con indeterminacion infinito (l'hopital)
Respuesta
en
Matemáticas
y en 1 temas más
a
