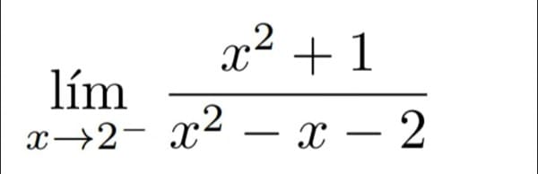
Limite con indeterminacion infinito (l'hopital)
Como realizar este limite aplicando l'hopital si al momento de evaluar da infinito

1 respuesta
Respuesta de Alejandro Salazar
1

