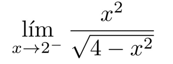
Limite algebraico aplicando la regla de l'hopital
Como puedo resolver mediante l hopital este limite, teniendo en cuenta que me da infinito al evaluarlo

1 Respuesta
Respuesta de Alejandro Salazar
1

