Preguntas esperando respuesta
Actividad pública reciente
Ha cambiado su perfil.
- Ha cambiado su foto.
Ha empezado a seguir a
Ha empezado a seguir el tema Ingeniería Química
Ha empezado a seguir el tema Química
Ha cambiado su perfil.
- Nombre completo: Hexe Mond.
Ha empezado a seguir a
Ha empezado a seguir a
Ha empezado a seguir el tema Biología
Ha empezado a seguir el tema Biología Molecular
Ha empezado a seguir a
Voto positivo a la respuesta
Como solucionar integral por sustitución trigonométrica
Ha valorado "Excelente" la respuesta
Encontrar solución general de estas ecuaciones diferenciales
Ha valorado "Excelente" la respuesta
9y"+6y'+4y=0 resolver con P.V.I y(0)=3, y'(0)=4
Resolviendo el polinomio característico, tenemos que las soluciones de ese polinomio son x_1 = -1/3 + Raiz(3) / 3 x_2 = -1/3 - Raiz(3) / 3 Por lo que las solución para y es Salu2
Ha valorado "Excelente" la respuesta
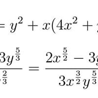
¿Como se hacen estas ecuaciones diferenciales de Bernoulli ?
Mejores respuestas proporcionadas
Educación
-
Universidad Distrital


