Actividad pública reciente
Ha cambiado su perfil.
- Lema: “El león y la pantera son inofensivos; en cambio, las gallinas y los patos son animales altamente peligrosos, decía una lombriz a sus hijos.” Bertrand Russell..
Ha empezado a seguir a
Ha valorado "Buena" la respuesta
Es recomendable tratamiento en estas circunstancias?
Lo que más daña la tiroides es el gluten, la soja, el flúor y el mercurio de los empastes. Más info en http://librosdesalud.es/100-libros-de-salud-en-1.pdf
Ha respondido en
Matemáticas
y en 2 temas más
Determinar la ecuación de la recta y expresarla en forma general
Supongo que le llamas m a la pendiente. Por la tanto . Pendiente(m)=6 Ordenada en el origen (b)=3/2 La ecuación explicita de una recta es de la forma : Y=m.X+b Donde m es la pendente y b -llamándole con la misma letra que haces tú- es la ordenada en...
Ha respondido en
Matemáticas
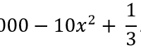
La función de C(x) de una marca alimenticia de la empresa vinícola, está dada por: C(x)=3000-10x^2+ 1/3 x^3
Ha respondido en
Matemáticas
y en 1 temas más
Cualesson los terminos de 5xy^2+2y
Los términos son los sumandos, es decir los monomios que forman el polinomio. En la expresión dada solo hay dos sumandos, es decir DOS TÉRMINOS, 5xy^2 es uno de ellos y el otro es 2y.
Ha respondido en
Matemáticas
y en 2 temas más
Explique porque las siguientes expresiones no son monomios.a. 5x+y b.√7xy^3 c.x/2y
Un monomio es una expresión algebraica formada por el producto de un número y una o varias letras que pueden estar elevadas a exponentes naturales. Sabiendo esto descubre tú la respuesta. (Fíjate que las únicas operaciones entre las letras o entre el...
Ha respondido en
Matemáticas
y en 1 temas más
Cuales son las variables en 6xy, el grado de la variable m en 7m^5n, el termino independiente de 7x^2-1
Las variables son X e Y, es decir las letras. El grado de la variable m en 7(m^5)n es 5, su exponente. El termino independiente de 7X^2- 1 es -1, el sumando de grado 0 (el que no tiene letras) Estas son cosas que debes estudiar. Te recomiendo que...
Ha respondido en
Matemáticas
Que números decimales cuyo redondeo a la décima más cercana sea igual a 2.7
Podrían ser, por ejemplo: 2,67 ; 2, 69, 2,68234 Deberán tener 6 en lugar de las decenas - la cifra a la cual se quiere redondear-, 5 ó más 5 en la cifra siguiente, puesto que en ese caso se aumenta 1 a la cifra de las décimas y se prescinde de las...
Ha respondido en
Matemáticas
y en 2 temas más
Duda sobre ecuación general de la recta
Efectivamente, en el caso a), si tiene pendiente 0 y pasa por el punto (1, 5) se trataría de la recta de ecuación y=5. Recta paralela al eje OX pasando por el punto dado. En caso b) si me dicen que no tienen pendiente yo entiendo que me quieren decir...
Ha respondido en
Educación a Distancia
y en 4 temas más
Dados 3 vectores demostrar que estos son los vértices de un triángulo rectángulo.
a)Si es un triángulo rectángulo, el Angulo B=90º El vector BA tiene de componentes (3-4, 0-3, 2-0)= (-1 , -3, 2) El vector BC tienen de componentes (8-4, 1-3, -1-0)= (4, -2, -1) Los dos vectores son perpendiculares puesto que su producto escalar vale...
Ha respondido en
Matemáticas
Numero que multiplicado me de 10 y sumado o restado -1
¿Multiplicado por cuanto? Y ¿Sumado o restado con cuanto?. Faltan da datos para poder ayudarte Yianelyz. Repasa el ejercicio.
Ha respondido en
Matemáticas
La ecuación de la línea recta que pasa por los puntos (2,5) y (-5,4) es
La ecuación de la recta que pasa por dos puntos de coordenadas (x1, x2) e (y1, y2) es. (x - x1)/(x2 - x1) =(y - y1) /(y2 - y1). En nuestro caso, (x - 2) / (-5 - 2) =(y - 5) / (4 - 5), es decir: (x- 2)/ -7 =(y - 5) /-1. o lo que es lo mismo,(x - 2) /...
Ha respondido en
Matemáticas
y en 3 temas más
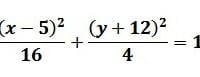
¿Cómo resulevo este problema de elipse, convertir de forma ordinaria a general?
Mejores respuestas proporcionadas
Educación
-
Universidad
Licenciado


