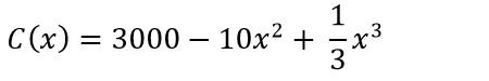
La función de C(x) de una marca alimenticia de la empresa vinícola, está dada por: C(x)=3000-10x^2+ 1/3 x^3
La función de C(x) de una marca alimenticia de la empresa vinícola, está dada por:

El gerente de marca quiere saber la producción de “x” en la cual:
- El costo mínimo
La respuesta que debe ser obtenida por máximos y mínimos aplicando cualquier criterio de la derivada, identificando el valor de x y el valor del costo mínimo
1 respuesta
Respuesta de A. Soneira