¿Cómo resulevo este problema de elipse, convertir de forma ordinaria a general?
Me podrían de favor ayudar con lo siguiente:
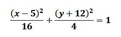
Convierte la ecuación de la forma ordinaria a la forma general.

1 Respuesta
Respuesta de A. Soneira
1
Ok eso estamuy bien - Alexis Espinoza