Pregunta en
Matemáticas
y en 1 temas más
Ecuaciones diferenciales: Resolver por series la ecuación diferencial
Pregunta en
Matemáticas
y en 1 temas más
Ecuaciones diferenciales: resolver el problema de valor inicial a través del método series de Taylor
Pregunta en
Matemáticas
y en 1 temas más
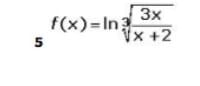
Calcular la derivada de la siguiente función logarítmica solucionar
Pregunta en
Matemáticas
y en 1 temas más
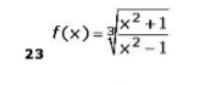
Calcular la derivada de la siguiente función algebraica
Pregunta en
Matemáticas
y en 1 temas más
Hacer la derivada por la regla de los cociente paso a a paso y por el método de subir el denominador
Buenos días he realizado esta derivada pero no me cuadra el mismo ersulstado urilizando los dos métodos si pueden ayudarme pso apaso para saber cual es mi error en una me da -2/3x^3 y en el otro -1/6x^3
Pregunta en
Matemáticas
