H o l a:
Resultado:
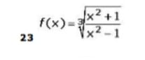
$$\begin{align}&\frac{d}{dx}\left(\sqrt[3]{\frac{x^2+1}{x^2-1}}\right)=-\frac{4x\left(\frac{1}{x^2-1}\right)^{\frac{4}{3}}}{3\left(x^2+1\right)^{\frac{2}{3}}}\end{align}$$$$\begin{align}&\mathrm{Sea\:}\left(\frac{x^2+1}{x^2-1}\right)\mathrm{=}u\\& \\&=\frac{d}{du}\left(\sqrt[3]{u}\right)\frac{d}{dx}\left(\frac{x^2+1}{x^2-1}\right)\\& \\&=\frac{1}{3u^{\frac{2}{3}}}\left(-\frac{4x}{\left(x^2-1\right)^2}\right)\\& \\&=\frac{1}{3\left(\frac{x^2+1}{x^2-1}\right)^{\frac{2}{3}}}\left(-\frac{4x}{\left(x^2-1\right)^2}\right)\\& \\&=-\frac{4x\left(\frac{1}{x^2-1}\right)^{\frac{4}{3}}}{3\left(x^2+1\right)^{\frac{2}{3}}}\end{align}$$Para realizar integrales o derivadas puedes escribirlas en esta página y te pone el resultado y todos los pasos:
https://es.symbolab.com/solver

Sal u dos