Preguntas esperando respuesta
Actividad pública reciente
Ha valorado "Excelente" la respuesta
1. Evaluar el siguiente límite trigonométrico presentado el paso a paso del desarrollo y su respuesta
Ha preguntado en el tema en
Matemáticas
y en 2 temas más
Solucionar las siguientes Ecuaciones diferenciales de orden superior nohomogéneas
Buenas tardes compañeros espero me ayuden con el desarrollo de este ejercicicio
Sin respuestas
Ha preguntado en el tema en
Matemáticas
y en 3 temas más
Calcular el siguiente límite indeterminado de la forma 0/0 presentando el paso a paso del desarrollo y su respuesta.
Ha valorado "Excelente" la respuesta
Calcular la siguiente integral definida:
Ha valorado "Excelente" la respuesta
Desarrollar el ejercicio seleccionado utilizando el álgebra, latrigonometría y propiedades matemáticas para reducir las función
Simplificando el integrando seria: sen 2 u/ cos u = 2 sen u cos u /cos u = 2 sen u Luego IntegrAL { sen 2 u/ cos du} = Integral { 2 sen u} du = - 2 cos u + C, Derivando el resultado tendrias d/du ( -2 cos u) + C = -(-2 sen u ) + 0 = 2 sen u = 2 sen u...
Ha preguntado en el tema en
Matemáticas
y en 2 temas más
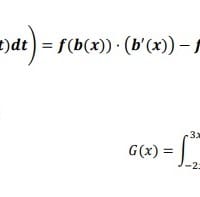
Los ejercicios seleccionados derivando G′(?) de las siguientesfunciones. Aplicar el siguiente Teorema de integración en cada
Sin respuestas
Ha preguntado en el tema en
Matemáticas
y en 2 temas más
Desarrollar el ejercicio seleccionado utilizando las Sumas de Riemann:
Sin respuestas
Ha preguntado en el tema en
Química
y en 3 temas más
Calcule el % peso de cada componente en esta formulación.b) Identifique que función realiza cada uno de los componentes en lap
Buenas tardes compañeros de todo expertos espero me ayuden con ete problema que no entiendo muy bien
Sin respuestas
Ha preguntado en el tema en
Física
y en 2 temas más
Experimentalmente se ha comprobado que la función p(n)=(9^n*1.033)/〖10〗^n , describe la presión atmosférica en función de la al
Ha preguntado en el tema en
Química
y en 2 temas más
• Identificar la fórmula molecular de acuerdo con el número de átomos de la estructura química.
Identificar el tipo de grupo funcional presente en la estructura.Identificar la fórmula molecular de acuerdo con el número de átomos de la estructura química.Dibujar un isómero estructural (compuesto con el mismo número de átomos, pero diferente...
Sin respuestas
Ha valorado "Excelente" la respuesta
Nombre IUPAC de la siguiente estructura química
Trabajo
-
servision
operador , actualmente






La factorización del siguiente problema ײ-10×