Respuesta
en
Cálculo
a
Encontrar el limite ,si existe:
Interpreto que es: lim x>0 de 8x^9/(x^2-x); sin no fuera así, por favor acláralo. 8x^9 / [x(x-1)]; simplifico: 8x^8 / (x-1); doy valor a x=0: 0 / (-1) = 0 lim x>4 de: (x-4) / (x^2-16); factorizo el denominador: (x-4) / [(x-4)(x+4)]; simplifico:...
Respuesta
en
Matemáticas
y en 1 temas más
a
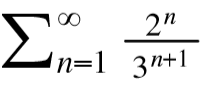
Calcular la suma de una serie
Respuesta
en
Matemáticas
y en 1 temas más
a
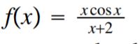
Como veo la discontinuidad de estas funciones
Respuesta
en
Matemáticas
a
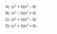
Como se Factoriza la siguiente Expresión
Respuesta
en
Matemáticas
a
Tarea de matemáticas ejercicios de funciones
Imagino que hay que factorizar. a) 2X² - 7X + 3=0; Baskara: [7+-√(49-24)] / 4; (7+-5)/4; x= 1/2; o: x=3; Queda: 2*[x-(1/2)]*(x-3); que también se puede expresar como: (2x-1)(x-3) b) Y = 6X - 3; y= 3(2x-1) c) Y = X³ + 8; y=x^3 + 2^3;...
Respuesta
en
Matemáticas
y en 1 temas más
a
Hallar asíntotas verticales y ver comportamiento asintotico
Respuesta
en
Matemáticas
y en 1 temas más
a
Alguien que sepa como se resuelve este ejercicio
Respuesta
en
Matemáticas
y en 1 temas más
a
Esta bien que me halla dado así la fracción de este numero periodo ?
Este ejercicio tiene una "trampa?", que evaluaremos en la segunda parte de la respuesta. Inicialmente, algo ha fallado, porque al hacer la división de la fracción no da el mismo número del que has partido. Analicemos descomponiendo: 0,12499999999...
Respuesta
en
Cálculo
a
¿Como puedo resolver este problema de calculo 1?
Respuesta
en
Matemáticas
y en 2 temas más
a
