Hallar asíntotas verticales y ver comportamiento asintotico
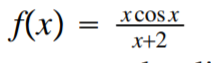
Determinar las asíntotas verticales y el comportamiento asintótico por izquierda y por derecha de las mismas de:

La asíntota vertical se que es -2, ¿pero cómo veo su comportamiento asintotico?
1 respuesta
Respuesta de Norberto Pesce
1
