Como se Factoriza la siguiente Expresión
Al factorizar obtenemos como resultado.
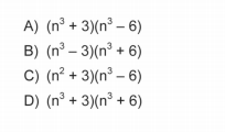
$$\begin{align}&n^6-3n^3-18\end{align}$$
1 Respuesta
Respuesta de Norberto Pesce
1
