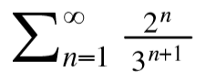
Calcular la suma de una serie

Como puedo calcular la suma de esta serie que es convergente.
2 respuestas
Respuesta de Mario Rodríguez
1
Respuesta de Norberto Pesce
1

