Actividad pública reciente
Ha empezado a seguir a
Ha respondido en
Matemáticas
Ejercicios sobre conjuntos notación simbólica.
Te paso los 10 primeros, los demás los puedes hacer tu, saludos Los conjuntos dados son los siguientes Asi los conjuntos que buscamos son Espero haberte ayudado, los otros están sencillos, solo piénsalos un poco
Ha respondido en
Matemáticas
Algoritmos para realizar divisiones. ¿Cuáles hay?
División euclidea con números naturales Dados dos números naturales a y b, con b distinto de 0, la división euclídea asocia un cociente q y un resto r, ambos números naturales, que verifican: La pareja (q, r) es única. Simbólicamente escribimos:...
Ha respondido en
Idiomas
y en 2 temas más
¿Cuál sería la traducción de esta frase al latín: lo imposible es relativo?
Una traducción aceptable seria "quod est impossibile secundum quid"
Ha respondido en
Matemáticas
Conectivos Lógicos y teoría de conjuntos
Descrito en palabras seria: "(Si los estudiantes de la Unad estudian los contenidos del entorno de conocimientos entonces los estudiantes aprenden a desarrollar los ejercicios y si los estudiantes no aprenden a desarrollar los ejercicios) entonces...
Ha respondido en
Matemáticas
Resolver la siguiente ecuación demostrando el paso a paso
Ha empezado a seguir a
Ha respondido en
Cálculo
(Calculo Integral)¿Hallar la condición que satisfaga la condición dada? ¿Evaluar 2 integrales definidas?
Ha respondido en
Matemáticas
y en 3 temas más
Como se resuelven ejercicios de integrales
Voto positivo a la respuesta
Es sobre álgebra expresiones algebraicas
En principio está 'casi' bien con la salvedad que en lugar de '=' deberías poner '<' (ya que dice que la suma es inferior a esa cantidad. Igualmente creo que deberías plantearlo 'por partes, esto es: Carlos: X Diana: D = 1/3 X Pepe: P = 1/10 * 2 * D...
Voto positivo a la respuesta
La función compuesta con exponentes
;) Hola Gabriel! h(x)=(gof)(x)=g(f(x))=g(ln (x^2+2))= e^[ln(x^2+2)]=x^2+2 Saludos ;) ;)
Ha respondido en
Álgebra
y en 2 temas más
Como determinar las siguientes matrices
Ha respondido en
Matemáticas
y en 1 temas más
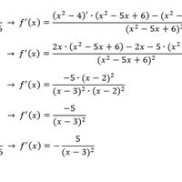
Cual es la derivada de una función en un cociente
Ha respondido en
Física
y en 1 temas más
Como se realizan los siguientes problemas de notación científica
Mejores respuestas proporcionadas
Experiencia
Estudiante de Matematica Pura
Trabajo
-
LUZ
Estudiante
Educación
-
Universidad del Zulia
Matematica Pura

