Resolver la siguiente ecuación demostrando el paso a paso

Buenas noches me podrían colaborar con al solución dde esta ecuación, y demostrando paso a paso la resolución de esta ecuación

1 respuesta

Respuesta
1

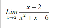
Simplificamos la expresión

$$\begin{align}&\frac{x-2}{x^2+x-6}:\quad \frac{1}{x+3}\end{align}$$

Para ello factorizamos la expresión

$$\begin{align}&x^2+x-6\end{align}$$

y nos queda que

$$\begin{align}&x^2+x-6=\left(x-2\right)\left(x+3\right)\end{align}$$

así tenemos que

$$\begin{align}&\frac{x-2}{x^2+x-6}=\frac{x-2}{\left(x-2\right)\left(x+3\right)}\end{align}$$

Eliminando los términos semejantes x - 2, tenemos que

$$\begin{align}&\frac{x-2}{\left(x-2\right)\left(x+3\right)}=\frac{1}{x+3}\end{align}$$

de donde se sigue que:

$$\begin{align}&\lim _{x\to \:2}\left(\frac{1}{x+3}\right)\end{align}$$

Sustituyendo la variable tenemos que

$$\begin{align}&\lim _{x\to \:2}\left(\frac{1}{x+3}\right)=\frac{1}{2+3}=\frac{1}{5} \end{align}$$

Añade tu respuesta

Haz clic para o

Más respuestas relacionadas