Cual es la derivada de una función en un cociente
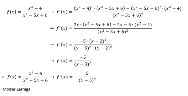
$$\begin{align}&f(x)={x^2-4\over x^2-5x+6} \ \ \ hallar \ \ f \ prima\\&\\&\end{align}$$$$\begin{align}&A. \ \ \ \ \ {-5\over x^2-6x+9}\end{align}$$$$\begin{align}&B. \ \ \ \ \ \ \ \ {-2x-5\over x^2-6x+9}\end{align}$$$$\begin{align}&C. \ \ \ \ \ \ \ \ {-5(x+2)\over x^2-6x+9}\end{align}$$$$\begin{align}&D. \ \ \ \ \ \ \ \ \ {-5(x^2+4x-4)\over x^2-6x+9}\end{align}$$
1 Respuesta
Respuesta de Moises Zarraga
-1
