Pregunta en
Matemáticas
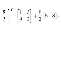
Cómo se resuelve el siguiente problema de Producto de polinomios algebraicos
Pregunta en
Matemáticas
Corregir este ejercicio de despeje en fórmula matemática.
Pregunta en
Matemáticas
Ejercicio de matemática preuniversitaria, necesito que lo controlen.
Pregunta en
Matemáticas
Espero me corrijan este despeje de fórmula matemática.
Pregunta en
Matemáticas
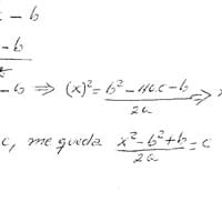
Despejar termino independiente en ecuación de baskara.
Pregunta en
Matemáticas
Emplazar nuevo límite entre dos fincas.
Pregunta en
Matemáticas
Reducir a su mínima expresión el siguiente problema matematico.
Pregunta en
Matemáticas
Pueden explicarme cómo despejar esta la variable en esta fórmula matemática.
Pregunta en
Microsoft Excel
Código de barras para productos en excel
Amigos les pregunto cual seria el código para implementar en excel un código de barras, para productos de alimentos con excel. Se puede hacer un simulador del mismo, sin necesidad de comprar el lector, es un ejercicio de prueba. Se que una de las...
Sin respuestas
Pregunta en
Matemáticas
