Pregunta en
Matemáticas
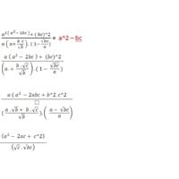
Necesito racionalizar este ejercicio de álgebra.
Pregunta en
Matemáticas
Necesito me informen si eata simplificación de este ejercicio esta bien.
Pregunta en
Matemáticas
Racionalizar el siguiente ejercicio de álgebra
Pregunta en
Matemáticas
Revisar si este ejercicio de álgebra esta bien simplificado.
Pregunta en
Matemáticas
Verificar resultado final de expresión fraccionaria algebraica.
Pregunta en
Matemáticas
Evaluar el desarrollo del siguiente ejercicio matemático.
Pregunta en
Matemáticas
Es correctocto la resolución de esta parte del ejercicio
Pregunta en
Matemáticas
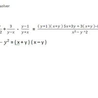
Ejercicio compuesto de fracciones algebraicas
Pregunta en
Matemáticas
Corregir la parte de un ejercicio de reducción a su mínima expresión
Pregunta en
Matemáticas
