Despejar termino independiente en ecuación de baskara.
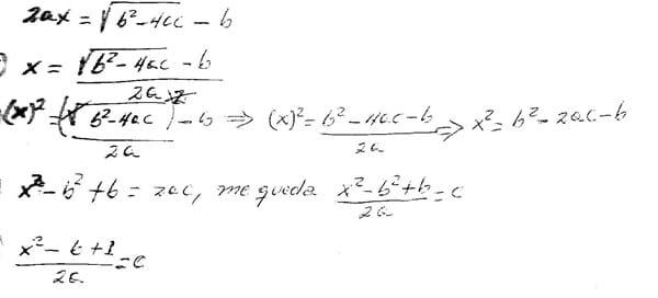
Amigos del foro el problema dice despejar el termino {c} en la siguiente formula, tal cual cómo esta escrita es la ecuación de segundo grado o de bascara, si bíen tiene los términos mezclados, he hecho lo siguiente para despejar la misma.
Pregunto es correcto este despeje. Acompaño una imagen de lo que he realizado.
Espero respuesta y agradecido cómo siempre.

2 Respuestas
Respuesta de Mario Rodríguez
1
Respuesta de Valero Angel Serrano Mercadal
1