Cómo se resuelve el siguiente problema de Producto de polinomios algebraicos

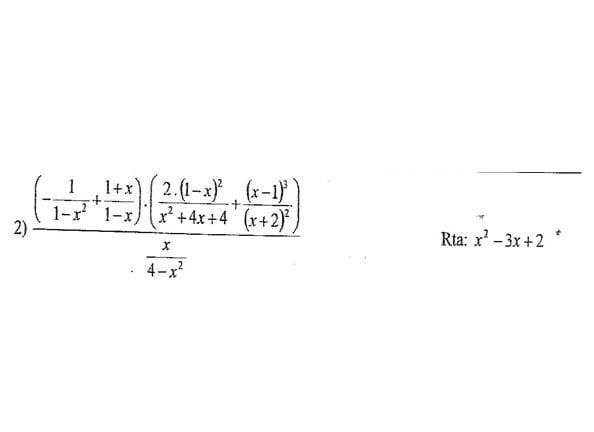
Señores del foro me indicarían como resolver este ejercicio, ya que ami me da error en el resultado final es, ( x^2 - 3x - 2 ). Envío imagen del mismo.

1 Respuesta

Respuesta
1

·

·

¡Hola Hfarias!

La imagen es muy borrosa, no la veo bien. ¿Podrías mandarlo de otra forma para que se pueda saber lo que hay?

Saludos.

:

:

Estimado Valero gracias por estar en contacto nuevamente contigo, te envío una nueva imagen, espero que la puedas ver bien, si no es así te pido me indiques que tipo de archivo puedo huzar para enviártelo.

Gracias.

$$\begin{align}&\frac{\left(-\frac{1}{1-x^2}+\frac{1+x}{1-x}  \right)\left(\frac{2(1-x)^2}{x^2+4x+4}+\frac{(x-1)^3}{(x+2)^2}  \right)}{\frac{x}{4-x^2}}=\\&\\&\text{Deshacemos algunos productos notables}\\&\\&=\frac{\left(-\frac{1}{(1-x)(1+x)}+\frac{1+x}{1-x}  \right)\left(\frac{2(1-x)^2}{(x+2)^2}+\frac{(x-1)^3}{(x+2)^2}  \right)}{\frac{x}{4-x^2}}=\\&\\&\text{Sumamos fracciones}\\&\\&=\frac{\left(\frac{-1+(1+x)^2}{(1-x)(1+x)}  \right)\left(\frac{2(1-x)^2+(x-1)^3}{(x+2)^2}  \right)}{\frac{x}{4-x^2}}=\\&\\&\text{vemos que }(1-x)^2=(x-1)^2\\&\\&=\frac{\left(\frac{-1+1+2x+x^2}{(1-x)(1+x)}  \right)\left(\frac{2(x-1)^2+(x-1)^3}{(x+2)^2}  \right)}{\frac{x}{4-x^2}}=\\&\\&\frac{\left(\frac{2x+x^2}{(1-x)(1+x)}  \right)\left(\frac{(x-1)^2(2+x-1)}{(x+2)^2}  \right)}{\frac{x}{4-x^2}}=\\&\\&\frac{\left(\frac{x(x+2)}{(1-x)(1+x)}  \right)\left(\frac{(x-1)^2(x+1)}{(x+2)^2}  \right)}{\frac{x}{4-x^2}}=\\&\\&\frac{\frac{x(x+2)(x-1)^2(x+1)}{(1-x)(1+x)(x+2)^2}}{\frac{x}{4-x^2}}=\\&\\&\text{ahora nos interesa} (x-1)^2=(1-x)^2\\&\\&\frac{\frac{x(x+2)(1-x)^2(x+1)}{(1-x)(1+x)(x+2)^2}}{\frac{x}{4-x^2}}=\\&\\&\\&\frac{\frac{x(1-x)}{(x+2)}}{\frac{x}{4-x^2}}=\frac{x(1-x)(4-x^2)}{(x+2)x}=\\&\\&\text{Deshacemos otro producto  notale}\\&\\&=\frac{x(1-x)(2+x)(2-x)}{(x+2)x}= (1-x)(2-x)=\\&\\&2-x-2x+x^2=x^2-3x+2\\&\\&\end{align}$$

Pues como ves no me da lo mismo, falla el signo del 2.  Pero es que mientras se edita es imposible ver bien las cosas, asi que lo mando y después lo reviso, yo creo que lo he hecho bien, pero me he podido despistar en algún sitio

Saludos.

:

:

Yo diría que hay una seguridad 100% de que la respuesta buena es la que he dado yo.

Saludos.

:

:

¡Gracias! Cómo siempre valero, por tu colaboración, el resultado es exacto a como sale en el ejercicio.Lo que yo tengo que hacer es terminar de aprender todos estas formas de llegar a un resultado.

Y lo que pasa es que hace veinte años deje de estudiar y ahora trato de pereparame solo y con la ayuda de los foros, porque aquí en argentina una academia o un profesor es muy caro.

Añade tu respuesta

Haz clic para o

Más respuestas relacionadas