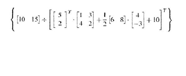
Ejercicio combinado de matriz,compuesta por división,multiplicación y transpuesta.
Solicito saber como resolver el siguiente ejercicio de matriz y si tiene solución
Envío imagen del mismo.
Gracias y espero respuesta.

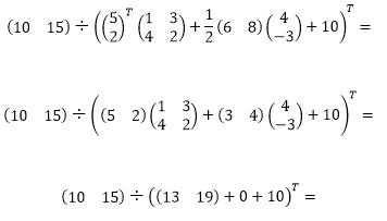
1 respuesta
Respuesta de Valero Angel Serrano Mercadal
1

