Reducir a su mínima expresión el siguiente problema matematico.
No puedo llegar al resultado exacto y he realizado en forma escrita a mano parte de la solución del mismo. Lo hice para saber si esta bién desarrollado lo que he fáctoreado, ya que cuando llego al final, el resultado no es igual.
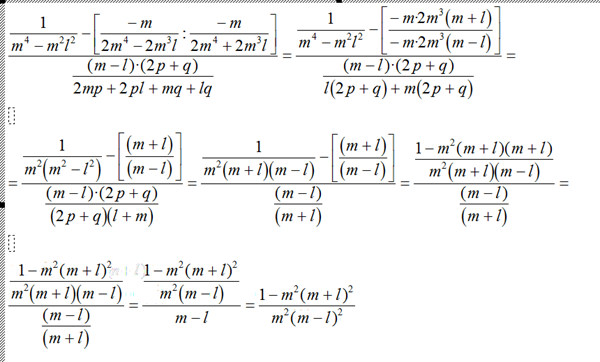
Al simplificar completo se llega a : 1 - m^2 ( m + l ) ^2 / m^2 ( m - l ) ^2, necesito saber que estoy haciendo mal para solucionarlo, envío una imagen del ejercicio y lo que hice hasta parar.

3 Respuestas
Respuesta
1
Respuesta de Lucas m
1
Respuesta de Valero Angel Serrano Mercadal
1


