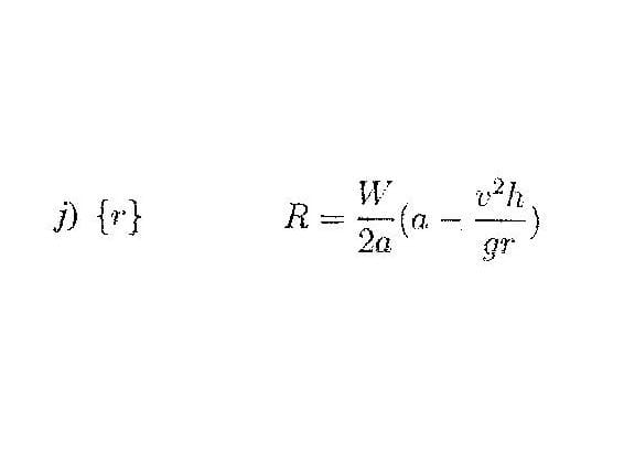
Espero me corrijan este despeje de fórmula matemática.
La pregunta es ¿esta bien realizado este despeje?, ya que trato de seguir las reglas que establecen matemáticamente cómo realizar las mismas.
Compaño una imagen realizada en word ya que utilizo Látex y no se cual es el motivo que me da errores permanente de servidor y no puedo trabajar. Espero puedan entender la misma, en caso contrario la voy a escribir en una hoja y la escaneo.

2 Respuestas
Respuesta
1
Respuesta de Valero Angel Serrano Mercadal
1


