Evaluar el desarrollo del siguiente ejercicio matemático.
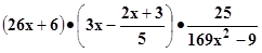
Amigos del foro el siguiente ejercicio esta sin terminar ya que mi error creo yo esta en el segundo termino, cómo lo desarrollo yo y en la forma de la multiplicación, de los tres términos que tiene el numerador.
Ya que el resultado final que da el apunte es = 10
Acompaño imagen del mismo y gracias.

2 respuestas
Respuesta
2
Respuesta de Luis Alberto Candio Salcedo
1


