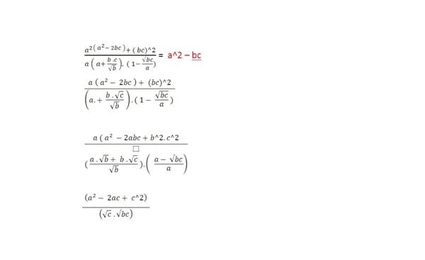
Necesito me informen si eata simplificación de este ejercicio esta bien.
Amigos del foro los molesto nuevamente, pregunto cuál es el error en esta parte del ejercicio.
No quiero que me lo hagan si no que me corrijan el error, por que así cómo esta planteado me parece que no llego a la solución final.
Gracias y acompaño imagen en archivo JPG, hecha en Word con tamaño 16 puntos en la letra.

2 Respuestas
Respuesta
1
Respuesta de Valero Angel Serrano Mercadal
1

