Pregunta en
Matemáticas
Calcular área sombreada de la figura geométrica.
Pregunta en
Matemáticas
Necesito me expliquen si este ejercicio de Triángulo Rectángulo esta bien resuelto.
Pregunta en
Matemáticas
Calcular área lateral de una pirámide conociendo su diagonal.
Pregunta en
Matemáticas
Como me oriento par realizar el ejercicio de problemas diversos.
Pregunta en
Matemáticas
Solicito me orienten si este ejercicio de denominadores esta bien realizado.
Pregunta en
Matemáticas
Me pueden dar una revisión de este ejercicio.
Pregunta en
Matemáticas
Dónde esta el error en esta ecuación,que no coinciden los resultados.
Pregunta en
Matemáticas
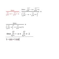
Me dicen si este ejercicio de ecuaciones fraccionarias esta bien resuelto.
Pregunta en
Matemáticas
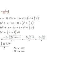
Necesito me ayuden con la corrección de ecuación cuadrática fraccionaria.
Pregunta en
Matemáticas
