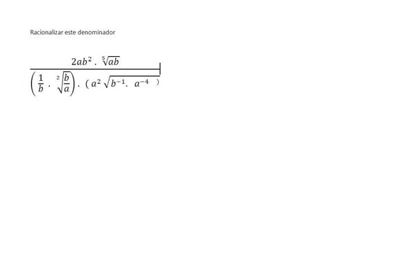
Racionalizar el siguiente ejercicio de álgebra

Estimados amigos del foro necesito me expliquen racionalizar este ejercicio, acompaño una imagen del mismo.

1 respuesta

Respuesta
2

·

·

¡Hola Hfarias!

$$\begin{align}&\frac{2ab^2· \sqrt[5]{ab}}{\frac 1b· \sqrt{\frac ba}·a^2 \sqrt{b^{-1}·a^{-4}}}=\\&\\&\text{simplificamos una a del numerador y denominador}\\&\\&\frac{2b^2· \sqrt[5]{ab}}{\frac 1b· \sqrt{\frac ba}·a· \sqrt{b^{-1}·a^{-4}}}=\\&\\&\text{Subimos la b del segundo sótano al numerador}\\&\\&\frac{2b^3· \sqrt[5]{ab}}{\sqrt{\frac ba}·a· \sqrt{b^{-1}·a^{-4}}}=\\&\\&\text{Pasamos los exponentes negativos a positivos y }\\&\text{separamos numeradores y denominadores en las raíces}\\&\\&\frac{2b^3· \sqrt[5]{ab}}{\frac {\sqrt b}{\sqrt a}·a· \frac{1}{\sqrt{ba^{4}}}}=\\&\\&\text{Pasamos el segundo sótano al numerador}\\&\\&\frac{2b^3· \sqrt[5]{ab} \sqrt a \sqrt{ba^4}}{\sqrt b·a}=\\&\\&\text{De la última raíz de arriba sale }a^2\\&\\&\frac{2b^3· \sqrt[5]{ab} \sqrt a ·a^2 \sqrt{b}}{\sqrt b·a}=\\&\\&\text{simplificamos}\\&\\&2b^3· \sqrt[5]{ab} \sqrt a ·a=\\&\\&2ab^3 \sqrt a\, \sqrt[5]{ab}\\&\end{align}$$

:

:

Añade tu respuesta

Haz clic para o

Más respuestas relacionadas