Es correctocto la resolución de esta parte del ejercicio
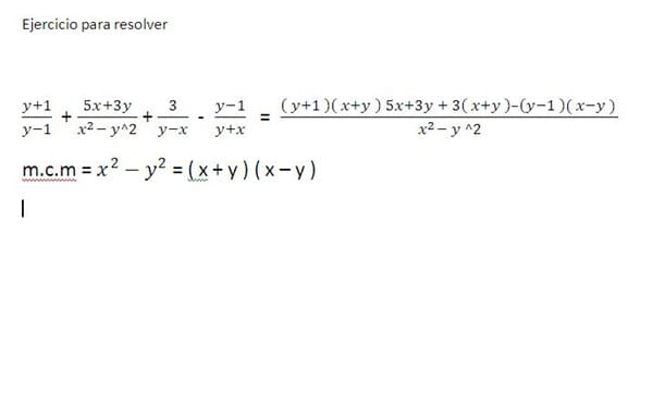
Pregunto si es correcta esta parte de resolución de este ejercicio, en caso contrario indicarme los errores. Envío imagen y gracias por su atención.

1 Respuesta
Respuesta de Valero Angel Serrano Mercadal
1