camilo a castellanos

camilo a castellanos

la contraseña de la vida es el esfuerzo
 700 puntos  Colombia @fabianariza desde - visto
Preguntar

Preguntas

Pregunta en

Realizar las siguientes conversiones en grados y en radianes

Realizar las siguientes conversiones:
Pregunta en

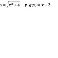
Desarrollar el ejercicio Dadas las funciones:

Agradezco la colaboración con la solución del siguiente ejercicio. Desarrollar el ejercicio Dadas las funciones:
Pregunta en

Para la función dada determine el respectivo dominio y rango:

Agradezco la colaboración para la solución del siguiente ejercicio Para la función dada determine el respectivo dominio y rango:
Pregunta en

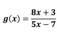
Determine la inversa de la función:

Agradezco la colaboración para determinar la inversa de la función: Determine la inversa de la función:
Pregunta en

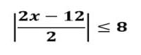
Encuentre la solución para la siguiente inecuación con valor absoluto y compruebe su solución:

Encuentre la solución para la siguiente inecuación con valor absoluto y compruebe su solución:
Pregunta en

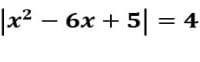
Encuentre la solución para la siguiente ecuación con valor absoluto y compruebe su solución:

Encuentre la solución para la siguiente ecuación con valor absoluto y compruebe su solución: No lo entiendo muy bien me confundo con las inecuaciones de valor absoluto
Pregunta en

Resolver la siguiente inecuación y compruebe su solución:

Resuelver la siguiente inecuación y compruebe su solución:
Pregunta en

Resuelva la siguiente inecuación y compruebe su solución:

Agradezco la colaboración para Resolver las siguientes inecuaciones y comprobar su solución:
Pregunta en

Comprobar el resultado de una ecuación

Agradezco su colaboración con la comprobación de la siguiente ecuación
Pregunta en

Resuelva la siguiente ecuación con radicales y compruebe su solución:

Agradezco la ayuda de alguien que Resuelva la siguiente ecuación con radicales y compruebe su solución: