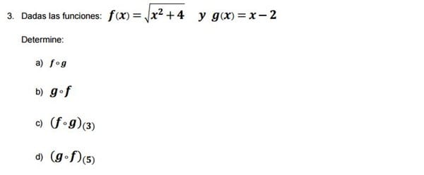
Desarrollar el ejercicio Dadas las funciones:
Agradezco la colaboración con la solución del siguiente ejercicio.
Desarrollar el ejercicio Dadas las funciones:

2 Respuestas
Respuesta
1
Respuesta de Valero Angel Serrano Mercadal
1
