camilo a castellanos

camilo a castellanos

la contraseña de la vida es el esfuerzo
 700 puntos  Colombia @fabianariza desde - visto
Preguntar

Preguntas

Pregunta en

Demostrar que la ecuación es una circunferencia. Determinar centro y radio

Agradezco la colaboración con la solución del siguiente ejercicio. Demostrar que la ecuación es una circunferencia. Determinar centro y radio
Pregunta en y en 1 temas más

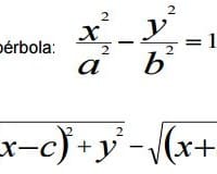
Deducir la ecuación de la hiprbola a partir de la ecuación:

Agradezco la colaboración para la solución del siguiente ejercicio Deducir la ecuación de la hiprbola a partir de la ecuación: Deducir la ecuación de la hipérbola a partir de la ecuación:
Pregunta en y en 1 temas más

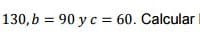
Demostrar que la ecuación representa una hipérbola y Determine centro, focos y vértices

Agradezco la colaboración para la solución del siguiente ejercicio. Demostrar que la ecuación representa una hipérbola y Determine centro, focos y vértices
Pregunta en y en 1 temas más

De la siguiente ecuación canónica de la elipse, transformar la ecuación :

Agradezco la colaboración con la solución del siguiente ejercicio: De la siguiente ecuación canónica de la elipse, transformar la ecuación :
Pregunta en y en 2 temas más

Demostrar que la siguiente ecuacion es una elipse y determinar centro, focos y vertices

Demostrar que la siguiente ecuación es una elipse y determinar centro, focos y vértices como lo muestra la imagen.
Pregunta en y en 1 temas más

Encuentre el valor de por que satisface la siguiente ecuación trigonométrica para ángulos entre 0°≤ por ≤ 360°

Agradezco su valiosa colaboración con la solución del siguiente ejercicio- Encuentre el valor de por que satisface la siguiente ecuación trigonométrica para ángulos entre 0°≤ por ≤ 360°
Pregunta en y en 1 temas más

Verificar la siguiente identidad trigonométrica:

Agradezco su valiosa colaboración con este ejercicio de identidades trigonométricas
Pregunta en

Un turista que mide 1,8 metros, está ubicado sobre una roca que tiene de altura 30 cm, este divisa un edificio que está a 150 m

Agradezco la ayuda para la solución de este ejercicio Un turista que mide 1,8 metros, está ubicado sobre una roca que tiene de altura 30 cm, este divisa un edificio que está a 150 metros de distancia, si el Angulo de elevación desde la vista del...
Pregunta en y en 2 temas más

El número de bacterias en un cultivo está dado por el siguiente modelo.

El número de bacterias en un cultivo está dado por el siguiente modelo.