Determine la inversa de la función:
Agradezco la colaboración para determinar la inversa de la función:
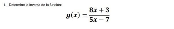
Determine la inversa de la función:

2 respuestas
Respuesta de Valero Angel Serrano Mercadal
1
Respuesta de Lucas m
1