Comprobar el resultado de una ecuación

Agradezco su colaboración con la comprobación de la siguiente ecuación

1 respuesta

Respuesta
1

·

·

¡Hola Fabiancho!

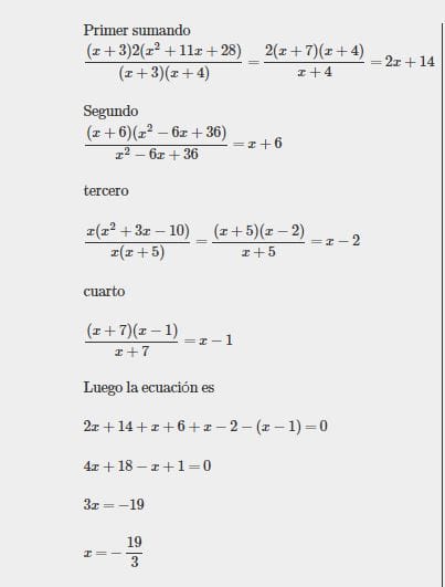
Comprobar significa probar la expresión original, si tomamos la simplificada no esteremos seguros de que está bien comprobado. Y comprobarlo a mano con -19/3 va a ser un suplicio, luego lo comprobaremos con calculadora con -19/3, no con 6.33 ni 6.3333

Como mi calculadora permite operar con variables meteré -19/3 en la variable x y haré cuentas. Además puede que me devuelva las operaciones en números fraccionarios.

$$\begin{align}&\frac{\frac{280}{27}}{\frac{70}{9}}+\frac{\frac{-1027}{27}}{\frac{1027}{9}}+\frac{\frac{-1900}{27}}{\frac{76}{9}}-\frac{\frac{-44}{9}}{\frac 23}=\\&\\&\frac{280}{210 }-\frac{1}{3}-\frac{1900}{228}+\frac{44}{6}=\\&\\&\frac 43-\frac 13-\frac{25}{3}+\frac{22}{3}=\frac{4-1-25+22}{3}=0\end{align}$$

Y eso es todo lo que se puede humanamente hacer.

Sa lu dos.

:

:

Añade tu respuesta

Haz clic para o

Más respuestas relacionadas