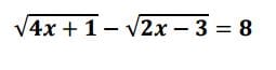
Resuelva la siguiente ecuación con radicales y compruebe su solución:
- Agradezco la ayuda de alguien que Resuelva la siguiente ecuación con radicales y compruebe su solución:

2 respuestas
Respuesta de Valero Angel Serrano Mercadal
1
Respuesta de antoniomallo
1

