Analicis de limites y continuidad, calculo diferencial
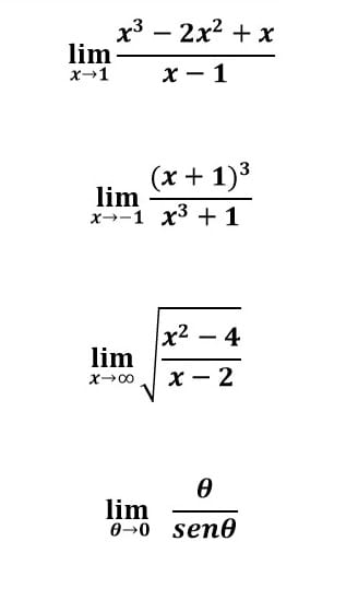
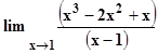
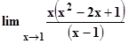
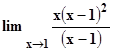
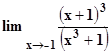
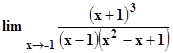
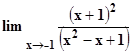
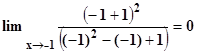
Quien me puede ayudar a resolver los limites de la imagen, y explicándome todo el proceso para poder comprenderlo mejor.

2 respuestas
Respuesta de Luis Alberto Candio Salcedo
2
Respuesta de Lucas m
2







