Profesores

1.305 seguidores
Preguntar

Preguntas resueltas

Pregunta en y en 3 temas más de

Como resolver el siguiente ejercicio

Me puede ayudar con el siguiente ejercicio, no se como resolverlo
Pregunta en y en 3 temas más de

Como resolver el siguiente ejercicio exponencial.

Como se resolvería el siguiente ejercicio exponencial, me podrían ayudar por favor.
Pregunta en y en 2 temas más de

Como encontrar el rango despejando por de la siguiente función

Como se hace para encontrar el rango despejando por de la siguiente función, por favor me podrían ayudar Como se hace para encontrar el rango despejando por de la siguiente función.
Pregunta en y en 2 temas más de

Como racionalizar el siguiente ejercicio

Como es el procedimiento para racionalizar el denominador del siguiente ejercicio
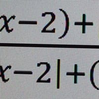
Pregunta en y en 1 temas más de

Tengo una duda de como racionalizar el siguiente función

Como racionalizo el denominador de la siguiente función si no cuenta con un denominador
Pregunta en y en 4 temas más de

Hallar la función inversa y su gráfica

Ejercicio para hallar la función inversa y su gráfica
Pregunta en y en 4 temas más de

Qué criterio debo seguir para crear una pirámide secuencial, razonamiento matemático

En la figura están completos los números, pero si borro algunos números y les pongo a y b en algún lugar de la pirámide, ¿Qué criterios debo seguir para ese fin? La 1ra imagen es correcta He visto que hacen así como la 2da imagen (le puse al azar la...
Pregunta en y en 4 temas más de

¿Cómo se puede interpretar el valor de la intensidad de campo?

Como están He hecho un ejercicio viendo un video... Para el calculo de la intensidad de campo H a partir de la permeabilidad magnética relativa de una barra de hierro (12500) y el valor de la inducción magnética (0.8 tesla)...
Pregunta en y en 3 temas más de

Como hallar o resuelvo el siguiente ejercicio de ecuación exponencial

Como puedo hallar o resolver el siguiente ejercicio de ecuación exponencial para hallar su respuesta. Como puedo hallar o resolver el siguiente ejercicio de ecuación exponencial para hallar su respuesta.
Pregunta en y en 4 temas más de

Como encontrar la respuesta del siguiente ejercicio

Determinar el recorrido analíticamente con el dominio predeterminado

Suscríbete RSS