Profesores

1.305 seguidores
Preguntar

Preguntas resueltas

Pregunta en y en 4 temas más de

Como resolver el siguiente ejercicio de problemas de aplicación

Un fabricante de muebles puede vender mesas de comedor a $70 la pieza. El costo total del fabricante es la suma de los costos indirectos fijos de $8.000 mas costos de producción de 30 dólares por mesa 1. ¿Cuántas mesas debe vender el fabricante para...
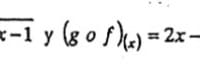
Pregunta en y en 3 temas más de

Como resolver el siguiente ejercicio, hallar f(x)

Me pueden ayudar a encontrar f(x) del siguiente ejercicio
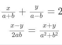
Pregunta en y en 3 temas más de

Como sacar el valor de a, b y c del siguiente ejercicio

Me pueden ayudar con el procedimiento para encontrar los valores de A, B y C por favor Me pueden ayudar con el procedimiento para encontrar los valores de A, B y C
Pregunta en y en 3 temas más de

Como resolver el siguiente ejercicio

Me pueden ayudar con este ejercicio, no entiendo como toca resolverlo
Pregunta en y en 4 temas más de

Como puedo sacer la función inversa del siguiente ejercicio

Como puedo sacer la función inversa del siguiente ejercicio Me podrían ayudar no entiendo cono es de resolver este ejercicio, por favor.
Pregunta en y en 3 temas más de

La función f(x)=6x-x^2-5 es inyectiva si no lo es restrinja su dominio para que sea inyectiva

Me pueden ayudar con este ejercicio La funcion f(x)=6x-x^2-5 es inyectiva, si no lo es, restrinja su dominio para que sea inyectiva
Pregunta en y en 4 temas más de

Procedimiento siguientes problemas para encontrar los límites

En los siguientes problemas encuentre los límites, si existen. Si el límite no existe, indíquelo así o utilice el símbolo ∞ o −∞ en donde sea apropiado.
Pregunta en y en 4 temas más de

Que tipos de transformadores puedo usar para hacer un ensayo en vacío y en cortocircuito?

Qué tipos de transformadores puedo usar para hacer un ensayo en cortocircuito y en vacío... ¿Yo tengo transformadores de timbre 220/6 V ... Sirven para eso? .. ¿Cómo se hace? .. Tienen algún video o me pueden guiar un poco.. ..
Pregunta en y en 4 temas más de

Como resolver el siguiente ejercicio de sistema de ecuaciones

Me podrían ayudar de como resolver el siguiente ejercicio de sistema de ecuaciones.
Pregunta en y en 3 temas más de

Como resuelvo el siguiente ejercicio

Como resolver la siguiente ecuación logarítmica, por favor me pueden ayudar

Suscríbete RSS