Como racionalizar el siguiente ejercicio

Como es el procedimiento para racionalizar el denominador del siguiente ejercicio

1 respuesta

Respuesta
1

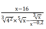
Avanzo un poco ayudandote a acomodar la expresión:

Nota: se que no es 'culpa' tuya, pero no es una buena idea usar la x como multiplicación cuando además tienes la x como símbolo en la expresión

$$\begin{align}&\frac{x-16}{\sqrt[3]{4^2} \cdot \sqrt[5]x - \frac{\sqrt[3]{x}}{x^{-0.2}}}\\&\text{Sabemos que elevar a un exponente negativo es invertir la expresión}\\&\frac{x-16}{\sqrt[3]{4^2} \cdot \sqrt[5]x - \sqrt[3]{x} \cdot x^{0.2}}\\&\text{Como 0.2 = 1/5}\\&\frac{x-16}{\sqrt[3]{4^2} \cdot \sqrt[5]x - \sqrt[3]{x} \cdot \sqrt[5]x}\\&\frac{x-16}{\sqrt[15]{(4^2)^5} \cdot \sqrt[15]{x^{3}} - \sqrt[15]{x^8} }\\&\frac{x-16}{\sqrt[15]{4^{10}\cdot x^3} - \sqrt[15]{x^8} }\\&\frac{x-16}{\sqrt[15]{2^{20}\cdot x^3} - \sqrt[15]{x^8} }\\&\end{align}$$

Creo que podrás seguirlo de ahí sin problemas...

Añade tu respuesta

Haz clic para o

Más respuestas relacionadas