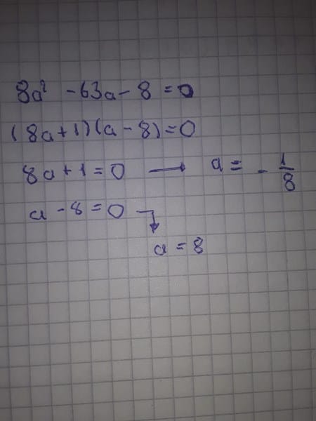
Como resolver el siguiente ejercicio exponencial.
Como se resolvería el siguiente ejercicio exponencial, me podrían ayudar por favor.

1 respuesta
Respuesta
1

