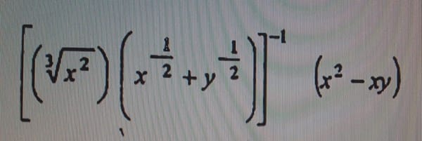
Tengo una duda de como racionalizar el siguiente función
Como racionalizo el denominador de la siguiente función si no cuenta con un denominador

1 respuesta
Respuesta
2
