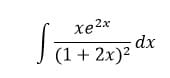
Hacer el siguiente ejercicio utilizando el método de integración por partes.

Cordial saludo compañeros me pueden ayudar hacer el siguiente ejercicio utilizando el método de integración por partes.
1 respuesta
Respuesta de Alejandro Salazar
