Tarea de química reactivo limite?

Tarea sobre reactivo limite desarrollar los dos ejercicios.

Respuesta
2

Saludos Juan David García Martínez

Las reglas del foro indican una sola pregunta por consulta. Te apoyo con la segunda.

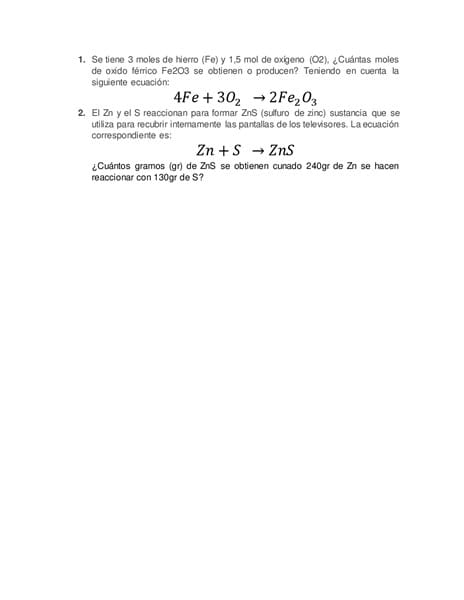
1. Se balancea la ecuación química

Zn + S = ZnS

(En su caso está balanceada)

2. Se determinan los moles de los reactantes, utilizando la definición de masa molecular

MM=g/mol

de donde

mol = g/MM

mol (Zn)= 240 g / 65,38 g/mol 

mol (Zn)= 3,67

mol (S) = 130 g/ 32,065 g/mol = 4,05

3. Empleando la relación indicada por la ecuación balanceada se determina el reactivo limitante

1 mol Zn ------- 1 mol S <= información de la ecuación química balanceada

3,67 mol Zn ----- X

X= 3,67 mol de S   

Como se tienen 4,05 moles de S, es decir mayor cantidad de S, el reactivo limitante es el Zn

4. Empleando la relación indicada por la ecuación balanceada, y la cantidad de moles del reactivo limitante, se determina la cantidad de producto

1 mol Zn ------- 1 mol ZnS <= información de la ecuación química balanceada

3,67 mol Zn ----- X

X= 3,67 moles de ZnS

m= MM*mol = 97,445 g/mol*3,67 moles de ZnS=357,70 g

El primer ejercicio es incluso más sencillo puesto que los datos no están en gramos sino en moles. Le invito a desarrollarlo, son máximo tres reglas de tres. Comente su resultado en caso de problemas y se le ayudará.

1 respuesta más de otro experto

Respuesta

Perdón pero la solución es estudiar química. Yo no respondo este tipo de preguntas.

Añade tu respuesta

Haz clic para o
El autor de la pregunta ya no la sigue por lo que es posible que no reciba tu respuesta.

Más respuestas relacionadas